Только два вида жиров необходимы нам в пищу; сливочное масло и говядина не являются их отличными источниками
Содержание
Автор: Тина Хесман Сэй
Старший научный сотрудник отдела молекулярной биологии
28 января 2026 года в 9:00
Fats come from many sources in the diet but some are healthier than others. Pictured from left to right are steak, avocados, salmon, olive oil, butter and nuts.
» data-medium-file=»https://www.sciencenews.org/wp-content/uploads/sites/2/2026/01/012325_TS_goodfats_main.jpg?w=680″ data-large-file=»https://www.sciencenews.org/wp-content/uploads/sites/2/2026/01/012325_TS_goodfats_main.jpg?w=800″ />
В рацион питания входят жиры из многих источников, но некоторые из них полезнее для здоровья, чем другие. Слева направо изображены стейк, авокадо, лосось, оливковое масло, сливочное масло и орехи.
Послушайте эту статью
Это история, написанная человеком и озвученная искусственным интеллектом. Есть отзывы? Примите участие в нашем опросе . (Ознакомьтесь с нашей политикой в области искусственного интеллекта здесь.)
Когда в начале января были опубликованы новые рекомендации по питанию для американцев, я не мог не заметить “полезные жиры” на вершине перевернутой пищевой пирамиды.
Как и сама пищевая пирамида, новые рекомендации перевернули предыдущие рекомендации по питанию, в которых предпочтение отдавалось растительным жирам, а не животным. Теперь Министерство сельского хозяйства и Министерство здравоохранения и социальных служб США относят сливочное масло, говяжий жир и оливковое масло к полезным жирам.
Не так быстро, говорят эксперты по питанию.
Большинство из них предпочитают оливковое масло. Это нейтрально, когда речь заходит о сердечных заболеваниях, говорит Мэрион Нестле, почетный профессор кафедры питания, пищевых исследований и общественного здравоохранения Нью-Йоркского университета.
Но советовать людям использовать насыщенные жиры, такие как сливочное масло и другие животные жиры, вместо ненасыщенных жиров растительного происхождения, таких как те, что содержатся в растительных маслах или маслах из семян? Это противоречит многолетним исследованиям в области здравоохранения, говорит Дейрдре Тобиас, диетолог-эпидемиолог из женской больницы Бригама и Гарвардской медицинской школы в Бостоне.
Эпидемиологические исследования и долгосрочные клинические испытания убедительно показали, что при употреблении в пищу полиненасыщенных жиров вместо насыщенных “вы получаете максимальную отдачу от своих усилий с точки зрения снижения риска сердечных заболеваний, сердечно-сосудистых заболеваний, диабета и смертности от всех причин”, — говорит Тобиас, который участвовал в исследовании. Консультативный комитет по диетическим рекомендациям на 2025 год.
В декабре 2024 года этот комитет опубликовал научный отчет, в котором не было уделено особого внимания мясу и молочным продуктам. Обычно рекомендации основаны на отчете консультативного комитета. Но не в этот раз. Вместо этого агентства предоставили краткие “Научные обоснования”, подготовленные другой группой консультантов, некоторые из которых имеют отношение к мясной и молочной промышленности. Потенциальные последствия для здоровья от добавления вредных жиров в рацион “- вот что больше всего беспокоило в этой замене», — говорит Тобиас.
Акцент на жирах также игнорирует тот факт, что когда люди перестают есть что-то одно, они заменяют это другим, говорит Кевин Клатт, дипломированный диетолог и специалист по питанию из Университета Торонто. Он опасается, что люди, которые придерживаются рекомендации употреблять больше белка и жирных молочных продуктов, сократят потребление клетчатки и упустят другие важные питательные вещества, содержащиеся во фруктах, овощах и цельнозерновых продуктах.
Я поговорил с этими экспертами, чтобы помочь вам похудеть с помощью жиров.
Что такое жиры?
Давайте углубимся в химию. Жиры, или, точнее, жирные кислоты, представляют собой молекулы, состоящие из длинных цепочек углерода, к которым присоединено некоторое количество водорода и кислорода.
Они бывают нескольких видов. Существуют насыщенные жиры. Их называют насыщенными, потому что у каждого углерода в цепочке есть все возможные химические связи, или насыщенный жир. Эти жиры, такие как свиное сало, сливочное масло, кокосовое масло, пальмовое масло и говяжий жир, остаются твердыми при комнатной температуре.
Кроме того, существуют ненасыщенные жиры. Они содержат одну или несколько двойных связей между атомами углерода в цепи. Двойная связь приводит к образованию излома в цепи, который мешает молекулам выстраиваться в определенном порядке. Ненасыщенные жиры обычно представляют собой жидкие масла комнатной температуры.
К ненасыщенным жирам относятся мононенасыщенные жиры. У них одна двойная связь в цепи. Хорошим примером является олеиновая кислота, содержащаяся в оливковом масле. Полиненасыщенные жиры имеют две или более двойных связей. Рыба, орехи и семечки являются хорошими источниками этих жирных кислот, в том числе омега-3 и омега-6 жирных кислот.
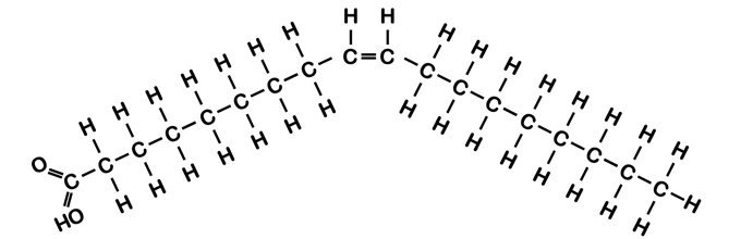
Урок химии
Насыщенные и ненасыщенные жиры различаются по своему химическому составу. Все они состоят из длинных цепей углерода (С) и водорода (Н) с примесью кислорода (О). Насыщенные жиры, такие как стеариновая кислота, основной жир в говяжьем жире, имеют только одинарные связи между атомами углерода. Ненасыщенные жиры, такие как олеиновая кислота, содержащаяся в оливковом масле, имеют одну или несколько двойных связей между атомами углерода. Перейдите по ссылке, чтобы увидеть, как это химическое различие изменяет форму молекулы.
Что делают жиры в организме?
Вот тут-то для многих из нас это становится реальностью. Жиры выполняют множество функций. Они образуют мембраны вокруг клеток и органелл. Без жиров жизнь все еще может находиться на начальной стадии развития.
Жирные кислоты являются важными посредниками. Форма молекулы, длина цепочки и другие свойства жиров являются ключами, которые помогают организму расшифровывать инструкции. Такие сообщения важны для работы мозга и иммунной системы.
Кроме того, жиры накапливают энергию и питательные вещества, включая некоторые витамины, и защищают внутренние органы.
Зачем нам нужны жиры в нашем рационе?
Наш организм не вырабатывает все необходимые нам жиры.
“С точки зрения питания, вам необходимы жиры в рационе, потому что вам нужны две разные жирные кислоты — линолевая и линоленовая”, — говорит Нестле. Эти две жирные кислоты поступают только с пищей. “Вам не нужно их много”, но эти жиры являются строительным материалом для других жиров.
Орехи, семена, бобовые, яйца и мясо являются источниками линолевой кислоты, которая входит в группу омега-6 жирных кислот. Омега-6 означает, что первая двойная связь расположена на шестом атоме углерода от конца молекулы.
Рыба, морепродукты, семена и листовые зеленые овощи являются источниками альфа-линоленовой кислоты, незаменимого компонента омега-3 жирных кислот. Омега-3 означает, что первая двойная связь образуется в третьем углероде с конца. И омега-3, и омега-6 жирные кислоты являются полиненасыщенными.
По словам Нестле, натуральные жиры не бывают только одного типа. “Жиры, которые содержатся в пище, представляют собой смеси насыщенных, ненасыщенных и полиненасыщенных жирных кислот. Все они представляют собой смеси. Единственное, что меняется, — это пропорции”. Мясные и молочные жиры, а также пальмовое и кокосовое масла содержат больше насыщенных жиров, в то время как растительные масла и масла из семян, особенно льняное масло, как правило, содержат больше полиненасыщенных жиров.
Генеалогическое древо жирных кислот
Жиры бывают двух основных видов: насыщенные и ненасыщенные.
Насыщенные жиры (красный цвет указывает на то, что такие жиры необязательны в рационе и связаны с повышенным риском сердечно-сосудистых заболеваний), такие как сливочное масло, свиное сало и пальмовое масло, при комнатной температуре остаются твердыми.
Дж. Хиршфельд. Хиршфельд
Ненасыщенные жиры при комнатной температуре остаются жидкими. Среди ненасыщенных жиров есть мононенасыщенные (желтые, которые не нужны в рационе и нейтральны с точки зрения риска сердечно-сосудистых заболеваний) и полиненасыщенные жиры (зеленые, которые необходимы и связаны с более низким риском сердечно-сосудистых заболеваний). Примерами продуктов, содержащих мононенасыщенные жиры, являются оливковое масло и авокадо. Рыба, яйца, орехи и семечки являются хорошими источниками полиненасыщенных жиров.
Полиненасыщенные жиры состоят из множества компонентов, наиболее важными из которых являются омега-3 и омега-6 жирные кислоты. Омега—кислоты включают в себя два вида жиров — линолевую кислоту (омега-6) и альфа-линоленовую кислоту (омега—3), которые люди должны получать из своего рациона, поскольку человеческий организм их не вырабатывает. Грецкие орехи и масло семян льна или чиа богаты альфа-линоленовой кислотой. Миндаль и арахисовое масло, сафлоровое масло и масло виноградных косточек являются одними из источников линолевой кислоты.
Полезны ли насыщенные жиры?
Не совсем.
Исследования в области питания в целом показали, что потребление большего количества насыщенных жиров связано с повышением уровня липопротеидов низкой плотности (ЛПНП), также известных как “плохой холестерин”, — говорит Клатт. Этот тип холестерина связан с более высоким риском сердечных приступов и инсультов. Предыдущие рекомендации использовали такие ссылки на хронические заболевания, чтобы рекомендовать мононенасыщенные жиры, такие как оливковое масло, или полиненасыщенные жиры, такие как рапсовое или соевое масло, в качестве более здоровой альтернативы сливочному маслу или другим животным жирам.
Клатт и его коллеги провели обзор исследований, в которых изучалось влияние уменьшения количества насыщенных жиров в рационе или замены насыщенных жиров полиненасыщенными. Результаты оказались интересными.
Для людей с низким риском сердечно-сосудистых заболеваний сокращение потребления насыщенных жиров имело статистически незначимый эффект, сообщили исследователи 16 декабря в журнале Annals of Internal Medicine. По оценкам, за пять лет на 1000 участников, употреблявших мало насыщенных жиров, приходилось на 1 смертельный исход меньше, чем среди тех, кто ел много.
Но для людей из группы высокого риска — людей с высоким уровнем холестерина, высоким кровяным давлением, диабетом, курящих или перенесших ранее сердечные приступы — снижение потребления насыщенных жиров было связано с уменьшением числа смертей на 6 и на 12 несмертельных сердечных приступов на 1000 участников исследования, что является статистически значимым снижением. А те, у кого был высокий риск, почувствовали себя еще лучше, если заменили насыщенные жиры на полиненасыщенные. Благодаря такой замене произошло на 21 сердечный приступ на 1000 человек меньше без летального исхода.
Но исследования в области питания сложны, потому что ученые никогда не могут точно сказать, что едят люди и заменяют ли они жиры сахаром или другими менее полезными продуктами. “Мы не держим людей в ловушке метаболизма в течение пяти лет и жестко контролируем их рацион”, — говорит Клатт. “Вы не можете поместить это в таблетку и распределить людей по группам, выбирая жир или плацебо”.
Как калории вписываются в общую картину?
Количество калорий подсчитывается случайным образом.
В предыдущих рекомендациях по питанию рекомендовалось ограничить потребление жиров не только по конкретным причинам, связанным со здоровьем, но и для того, чтобы сократить количество потребляемых калорий.
“Все жиры, будь то насыщенные, ненасыщенные или полиненасыщенные, содержат 120 калорий на столовую ложку. ”Идея о том, что вам следует воздерживаться от употребления жиров, основана на том факте, что в них содержится девять калорий на грамм», — говорит Нестле. Это в два раза больше калорий, чем в белках или углеводах. “Если вы едите много жиров, вам нужно сократить потребление калорий в другом месте”.
Нынешние рекомендации рекомендуют ограничить потребление насыщенных жиров не более чем 10 процентами от дневной калорийности. Это соответствует предыдущим рекомендациям. Но новый совет есть больше мяса и жирных молочных продуктов затрудняет соблюдение этого ограничения, говорит Клатт. Это проблема, потому что предыдущие рекомендации, в которых рекомендовались обезжиренные или маложирные молочные продукты и растительная диета, давали больше возможностей для получения питательных веществ при сохранении калорийности рациона.
Например, “когда вы снимаете молоко и удаляете жирные калории, вы оставляете весь белок и весь кальций. Вы сохраняете все необходимые питательные вещества, но теперь у вас просто меньше калорий, и это дает вам гораздо больше возможностей для рационального питания”, — говорит Клатт.
“Насыщенные жиры — это второстепенные жиры. Они не нужны вам для выживания», — говорит он. Человеческий организм уже вырабатывает все необходимые людям насыщенные жиры. В рационе питания “все, что они делают, — это повышают риск сердечно-сосудистых заболеваний и добавляют калорий, не добавляя при этом ничего другого”.
Полезны ли масла из семян?
По сравнению с насыщенными жирами, да.
По словам Клатта, в диетических рекомендациях отсутствуют такие растительные масла, как соевое, рапсовое и льняное. В предыдущих рекомендациях по питанию предлагалось использовать растительные масла в небольших количествах для приготовления пищи или заправок и соусов. Масла из семян, как правило, содержат большое количество полиненасыщенных жиров по сравнению с мононенасыщенными или насыщенными жирами и являются богатыми источниками двух незаменимых жирных кислот
Доказано, что полиненасыщенные жиры, особенно омега-3 жирные кислоты, оказывают более благоприятное воздействие на здоровье, чем другие виды жиров. Краткосрочные исследования показали, что замена насыщенных жиров на полиненасыщенные приводит к снижению уровня ЛПНП (часто называемого “плохим холестерином”). Более долгосрочные исследования показали, что у людей, в рационе которых больше полиненасыщенных жиров, чем насыщенных, как правило, меньше проблем с сердцем.
Но в последнее время масла из семян получили дурную славу.
По мнению Nestle, отчасти в этом может быть виновато чувство вины, связанное с употреблением жареных или ультрапереработанных продуктов. “Потребление растительных масел росло параллельно с ростом распространенности ожирения в период с 1980 по 2000 год. Но это ассоциация, а не обязательно причинно-следственная связь, потому что в этот период люди стали есть больше всего, а не только масла из семян”.
А как насчет химического состава масел из семян?
Химический состав может сыграть свою роль в недавнем осуждении масел из семян, говорит Клатт.
В некоторых маслах из семян содержится больше линолевой кислоты омега-6 по сравнению с жирными кислотами омега-3. В организме линолевая кислота преобразуется в арахидоновую кислоту, которая способствует воспалению. Воспаление играет важную роль во многих хронических проблемах со здоровьем, но также необходимо для заживления ран и борьбы с инфекциями.
Но здесь нет прямой диетической причины и следствия. “Простое употребление большего количества линолевой кислоты не приводит к обогащению клеточных мембран арахидоновой кислотой”, — говорит Клатт. Это потому, что организм регулирует как выработку арахидоновой кислоты, так и воспаление, вызванное ею. Таким образом, если человек употребляет больше линолевой кислоты, организм просто снизит выработку арахидоновой кислоты, говорит он.
Эксперты по питанию советуют употреблять рыбу вместо мяса как более полезный источник жиров.imagenavi / Getty Images
Еще одна причина, по которой люди беспокоятся о жирных кислотах омега-6, заключается в том, что они конкурируют с омега-3 за ферменты, которые превращают жирные кислоты в другие важные жиры. Некоторые люди опасаются, что потребление большего количества омега-6 жирных кислот может повлиять на выработку более длинных омега-3, таких как докозагексаеновая кислота (ДГК) и эйкозапентаеновая кислота (ЭПК).
У компании Klatt есть решение для этого: ешьте больше рыбы. Рыба и так богата ДГК и ЭПК, поэтому “вам не нужно беспокоиться о том, что ваш организм самостоятельно вырабатывает растительные предшественники, которые содержатся в соевом и рапсовом масле”.
Тобиас говорит, что даже если в одном виде масла из семян содержится более благоприятное соотношение жирных кислот омега-3 и омега-6, “это не делает другое масло вредным для здоровья, потому что все они полезнее, чем сливочное масло и жирное сало”.
Посоветовавшись с экспертами по питанию, я решила, что буду придерживаться обезжиренного молока. И продолжу использовать оливковое масло и рыбу в качестве источников жирных кислот. Таким образом, я не увеличиваю количество калорий, пытаясь получить необходимые моему организму жиры.






